Actualités

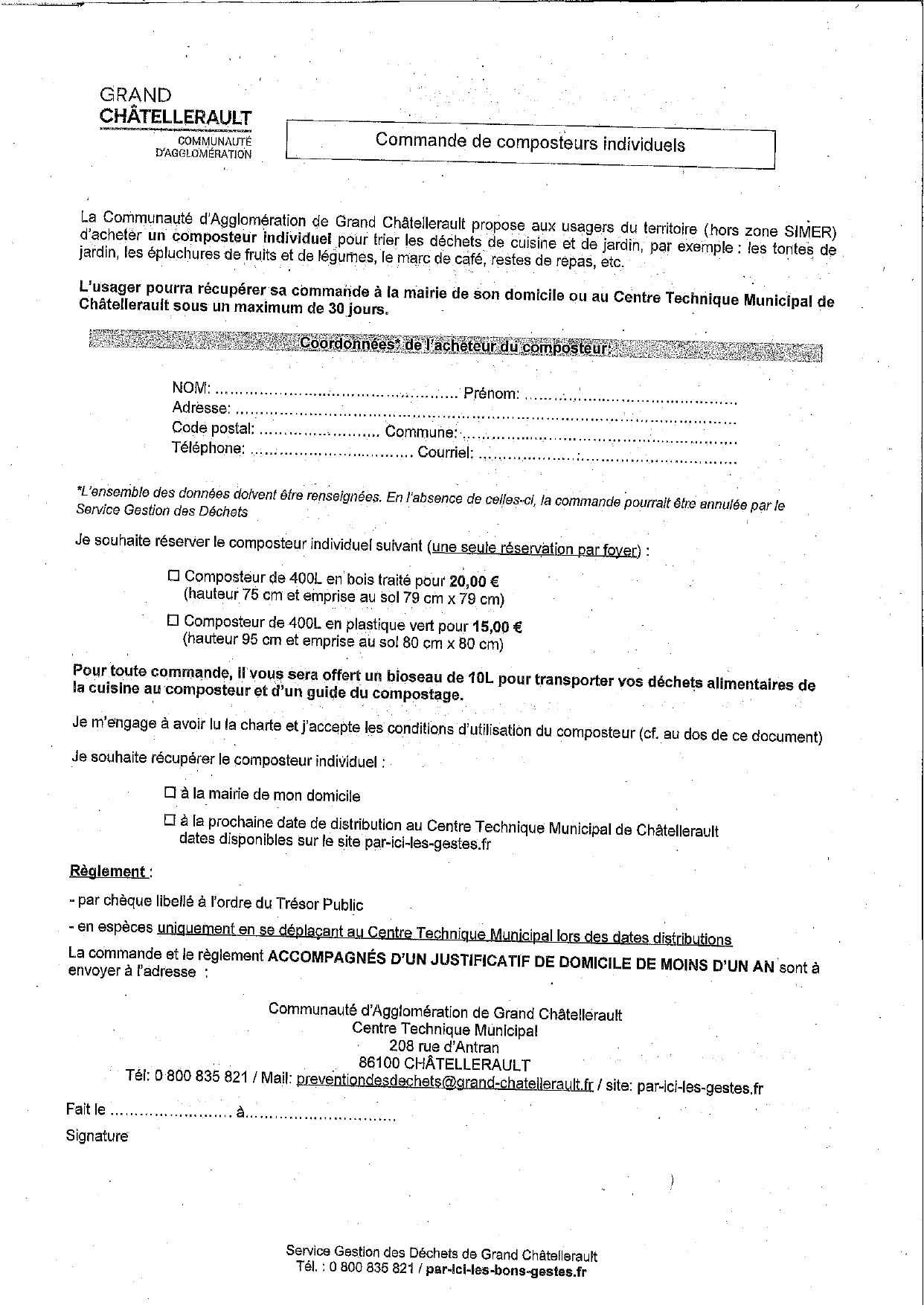
Réservation d'un composteur

La Communauté d'Agglomération de Grand Châtellerault (CAGC) est pleinement engagée en faveur du développement durable. De nombreuses actions sont déjà menées pour soutenir l'économie circulaire et, ainsi, réduire la production de déchets. Elle souhaite donc encourager et faciliter la pratique du compostage et ainsi équiper un maximum de foyers du territoire de composteurs vendus à tarifs préférentiels. Si vous le souhaitez, vous pouvez réserver un composteur : - en ligne : en cliquant sur le lien ci-dessous, - par téléphone : 0800 835 821, - par voie postale à l'aide du bon de commande ci-dessus.

https://swll.to/QkVJsP